No właśnie, wolne rodniki! Przyznajcie się, ile razy o nich słyszeliście. Wolne rodniki w pielęgnacji, składniki aktywne, które wymiatają wolne rodniki, stres oksydacyjny, działanie antyoksydacyjne, wymiatanie wolnych rodników – to są właśnie te hasła. A czy wiecie, czym rzeczywiście są te wolne rodniki? Jakiś czas temu jedna z moich obserwatorek napisała do mnie wiadomość prywatną z prośbą o wytłumaczenie o co tutaj chodzi. Dziś podejmę ten temat, więc przygotujcie sobie coś ciepłego do picia, bo będzie długo i merytorycznie.
Kiedy pierwszy raz usłyszałam o wolnych rodnikach wiedziałam, że coś takiego istnieje, ale nie zgłębiałam tematu. Dopiero na zajęciach z biochemii, na studiach z kosmetologii dowiedziałam o co tutaj chodzi i wiecie co, włosy stanęły mi dęba. Chemia, biochemia to nie jest materia, którą lubię, bo w gąszczu tych wszystkich nazw można się zgubić. Jednak wolne rodniki, a przede wszystkim tlen, to temat, z którym warto się zapoznać, jeśli rozmawiamy o świadomej pielęgnacji naszej skóry i dbaniu o nasze zdrowie. Zaczynamy…
W ostatnich latach bardzo dużo mówi się o działaniu tlenu na różnych płaszczyznach. Powstaje też wiele badań związanych z jego metaboliczną rolą. Wiemy, że tlen stanowi 1/4 masy Ziemi, ok. 3/4 masy ciała ssaków. Po raz pierwszy został on otrzymany w stanie czystym w 1774 roku przez Josepha Priestleya. To właśnie tlen nazywany jest „pierwiastkiem życia”. Czy wiecie, że w spokojnym oddechu człowiek wdycha ok. 500 mL powietrza, a maksymalny wdech to ok. 3,5 L powietrza?
✔️ Czym są wolne rodniki?
No dobrze, ale wróćmy teraz do tematu wolnych rodników, które ściśle są powiązane właśnie z tlenem. Wolne rodniki, według definicji Międzynarodowej Unii Chemii Czystej i Stosowanej to indywidua chemiczne, atomy lub cząstki zdolne do samodzielnego istnienia, mające jeden lub więcej niesparowanych elektronów na orbicie walencyjnej. Najprostszym rodnikiem jest atom wodoru. Co ciekawe, słowo „rodnik”, pochodzące do łacińskiego „radix”, oznacza korzeń i funkcjonuje od ok. 200 lat.
Rodniki otaczają nas z każdej strony i mają ogromny wpływ na nasze życie oraz zdrowie. Przyczyniają się one do starzenia wszelkich organizmów oraz rozkładu żywności, ale wykorzystuje się je także w wielu syntezach organicznych.
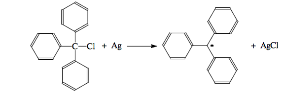
I teraz, przypomnijcie sobie, jak wygląda atom i jego orbita. To bardzo ważne, by zrozumieć o co w tym wszystkim chodzi. Sparowane elektrony w atomie to takie, które występują w parze na jego orbicie. Adekwatnie do tego – niesparowane elektrony to takie, które nie mają pary / nie występują w parze. Obecność niesparowanego elektronu powoduje, że wolne rodniki są przyciągane przez pole elektromagnetyczne i wykazują właściwości paramagnetyczne. Rodniki tworzą się w łatwy sposób ze związków chemicznych, które mają nietrwałe wiązania kowalencyjne. I teraz w prosty sposób możecie zobaczyć to na przykładzie rodnika trifenylometanowego powstającego w reakcji trifenylochlorometanu ze srebrem metalicznym:
Ok, znów musimy nawiązać do tlenu. Dlaczego? Cząstka tlenu ( który jak wiemy jest nam potrzebny do życia ) może ulegać redukcji do cząstki wody w reakcjach dwuelektronowych oraz na drodze procesu jednoelektronowego. I to właśnie w wyniku tych procesów powstają wolne rodniki tlenowe, cząstki zdolne do samodzielnej egzystencji, zawierające co najmniej jeden atom tlenu i posiadające co najmniej jeden lub więcej niesparowanych elektronów.
✔️ Czy wolne rodniki tlenowe są takie złe?
Wiele rodników tlenowych powstaje w wyniku naturalnych procesów metabolicznych w naszym organizmie, jak np. oddychanie tlenowe czy procesy zapalne. Odgrywają one również ważną rolę w prawidłowym funkcjonowaniu komórek. Uczestniczą np. w skurczach mięśni, wydzielaniu hormonów, w funkcjonowaniu układu obronnego. Biorą udział w usuwaniu leków z ustroju. Warunkują aktywność bakteriobójczą i bakteriostatyczną śliny. Jak widzicie, nie są takie złe, ale… niestety problem pojawia się wtedy, gdy zaczynają być tworzone w nadmiarze! Co może powodować taki stan? Wiele czynników.
Do najczęstszych czynników zewnętrznych zaliczamy nieprawidłową dietę, palenie papierosów, spożywanie alkoholu, zanieczyszczenie środowiska, promieniowanie, ale też wzmożone tempo oddychania podczas wysiłku fizycznego. Tutaj też często pojawia się ( wiele razy słyszeliście ) hasło: stres oksydacyjny, czyli zaburzenie homeostazy prowadzące do wzrostu stacjonarnych stężeń reaktywnych form tlenu. A to prowadzi do zaburzenia równowagi prooksydacyjno – antyoksydacyjnej w kierunku reakcji utleniania.
Jednym z najbardziej istotnych zadań wolnych rodników jest ich udział w procesach starzenia, ponieważ wpływają one na starzenie się komórek, ale też decydują o ich śmierci czy przeżyciu. Istotne jest również stężenie i czas działania rodników na komórki. Małe stężenie spełnia funkcje fizjologiczne, a wyższe wywołuje toksyczne uszkodzenia komórek co prowadzi do ich destrukcji.
✔️ Antyoksydacyjny układ ochronny?
Na straży przed toksycznym działaniem wolnych rodników tlenowych stoją dwa systemy antyoksydacyjne: enzymatyczny i nieenzymatyczny. Ich głównym zadaniem jest neutralizacja wolnych rodników, hamowanie reakcji łańcuchowych oraz ochrona komórek.
I znów tutaj nawiążę do haseł i nazw, które wiele razy słyszeliście – antyoksydanty, przeciwutleniacze, wymiatanie wolnych rodników! Antyoksydanty, inaczej przeciwutleniacze to substancje, które hamują stopień oksydacji cząsteczek i powodują przekształcenie się tych rodników w nieaktywne pochodne. I tutaj wkracza ADS, czyli antyoksydacyjny układ ochronny, który zabezpiecza komórki przed działaniem wolnych rodników tlenowych. Posiada on rozbudowany system naprawczy, który uniemożliwia inicjację reakcji utleniania oraz naprawia już powstałe uszkodzenia. W jego skład wchodzą zmiatacze wolnych rodników, antyoksydanty prewencyjne i enzymy antyoksydacyjne. Usuwanie tych wolnych rodników odbywa się poprzez 2 systemy, o których już wspomniałam wyżej.
System nieenzymatyczny tworzą substancje ochronne, które przekazują wolnym rodnikom swoje elektrony, czyli przechodzą w postać utlenioną. Ta postać posiada małą reaktywność i uniemożliwia utlenianie innym składnikom. Takie substancje nazywane są zmiataczami wolnych rodników i zaliczamy do nich między innymi witaminę C, witaminę E, witaminę i prowitaminę A, koenzym Q10, flawonoidy, keratyninę, neopterynę, melatoninę, antycyjaniny, bilirubinę, estron i estradiol. Warto tutaj wspomnieć też o zredukowanym glutationie ( GSH ), który stanowi podstawowy, wewnątrzkomórkowy mechanizm układu antyoksydacyjnego.
O czym warto pamiętać, kiedy rozmawiamy o antyoksydantach?
Przede wszystkim o tym, że zbyt duże stężenie antyoksydantów też potrafi być szkodliwe. Nie istnieje uniwersalny przeciwutleniacz, który będzie działał na wszystkie rodzaje wolnych rodników. Są takie antyoksydanty, które posiadają wysoki potencjał rodnikowy, a inne niski. Że urozmaicona dieta jest bardzo ważna ( plus odpowiednia suplementacja ), bo dostarcza nam przeciwutleniacze z różnych źródeł. Gdzie je znajdziemy? Np. w fasoli, soczewicy, zielonej herbacie, winogronach, cytrusach czy brokułach. Oczywiście tych źródeł jest dużo więcej.
System enzymatyczny tworzą wyspecjalizowane enzymy, które przeprowadzają reakcje usuwające wolne rodniki oraz zapobiegają ich powstaniu.
Pamiętajcie, że w naturalnych, prawidłowych warunkach istnieje równowaga pomiędzy powstawaniem wolnych rodników tlenowych, a ich usuwaniem, czyli właśnie tym wymiataniem. Kiedy ta równowaga zostaje zachwiana wtedy mówimy o stresie oksydacyjnym, który jest szczególnie niebezpieczny dla układu oddechowego, układu krążenia, naszego mózgu i narządów wzroku. Przyczynia się do powstawaniu wielu chorób. Jednym z jego następstw jest zmniejszenie stężenia ATP w komórkach. Dochodzi do uszkodzenia jądrowego i mitochondrialnego DNA, ale też bardzo często mówimy o zjawisku apoptozy, czyli programowanej śmierci komórki.
Teraz widzicie, że z jednej strony rodniki są nam potrzebne do życia, ale jeśli ich ilość będzie się zwiększać mogą też spowodować ogromne szkody w naszym organizmie. Dlatego tak często mówimy o tym, by wspomagać się antyoksydantami. By w pielęgnacji sięgać po kosmetyki, które zwierają te substancje. By stosować odpowiednią dietę i przyjmować suplementy. By ograniczać wszelkie czynniki, które powodują właśnie owy wzrost wolnych rodników. Mam nadzieję, że tym postem rozwiałam Wasze wątpliwości i teraz rozumiecie o co w tym wszystkim chodzi.
XOXO
autor tekstu – kosmetolog, blogerka, vlogerka Anita Kobus
* To nie jest post sponsorowany!
Źródła:
„Dwa oblicza wolnych rodników tlenowych” – https://phmd.pl/api/files/view/2729.pdf
Augustyniak A., Skrzydlewska E.: Zdolności antyoksydacyjne w starzejącym się organizmie.
„Wolne rodniki tlenowe, a mechanizmy obronne organizmu” – https://jms.ump.edu.pl/uploads/2006/6/582_6_75_2006.pdf
COCO COLLECTION – o mnie
Cześć, mam na imię Anita i oprowadzę Cię po świecie kosmetyków.
Z zawodu jestem kosmetologiem i od dawna interesuję się skórą, dobrze dobraną pielęgnacją, ale też kosmetykami. Lubię testować nowości i sprawdzać ile z obietnic producenta rzeczywiście jest prawdą.
Na moim blogu znajdziesz nie tylko recenzje i opinie o kosmetykach. Jest tutaj znacznie więcej:
Czy Wiesz – kategoria dotycząca wielu ciekawostek z dziedziny kosmetyki oraz kosmetologii.
Porady – jako kosmetolog radzę w doborze odpowiednich kosmetyków, jakie kroki w pielęgnacji wykonywać, ale też jakie skuteczne zabiegi stosować.
Prywatnie – ciekawostki z życia blogerki.
Jeśli jeszcze Ci mało koniecznie sprawdź mój Instagram oraz kanał na You Tube – COCO COLLECTION.





Ciekawy przystępny post. Dziękuję.
Nie ma za co! Mam nadzieję, że się przyda 😉
Przydatny i bardzo ciekawy wpis! Mało osób porusza taką tematykę 🙂
To prawda, a jest to bardzo ważny temat. Dziękuję :*
To mi się na pewno przyda i polecę znajomym niech też się zaopatrzą.